来源:赵伟宏观探索中金优配
关注、加星,第一时间接收推送! ]article_adlist-->文 | 赵伟、陈达飞、赵宇、王茂宇联系人 | 陈达飞
]article_adlist-->摘要 ]article_adlist-->美联储被喻为美国政治中的“第四权力”和“金融最高法院”,但当下已成为特朗普改造深层政府这场“权力游戏”的风暴中心。这场“政治危机”背后,更根本的问题是美联储能否“操纵”利率?何为美债利率曲线陡峭化的根源、“宽财政+宽货币”的政策路径会否生变?
一、美联储的“政治危机”:美联储换届与特朗普引导降息预期的“三张王牌”
6月初以来,美国总统特朗普何时提名以及提名谁为“影子美联储主席”的话题热度不减。截止到8月9日,市场预计的前三位“影子主席”候选人分别为:美联储理事沃勒(26.6%)、白宫国家经济委员会(NEC)主任哈赛特(13.7%)和前美联储理事沃什(7.9%)。
影子主席已经成为市场定价的一条“主线”。对市场而言,提名谁或并非矛盾的主要方面,本质上都是特朗普的“影子”,且货币政策立场都偏“鸽派”。特朗普“解雇”鲍威尔和鲍威尔提前辞职均属“尾部风险”事件,但特朗普“借题发挥”引导市场降息预期是真实有效的。
特朗普最多或有“三张王牌”引导降息预期:第一,由于Kugler提前辞职,特朗普提名米兰(Miran)代理;第二,年内提名一位“鸽派”的影子主席;第三,如果鲍威尔不留任理事,特朗普将再提名一位理事。所以,短期市场对美联储降息预期偏乐观,但中长期仍需回归基本面。
二、美联储的决策框架与政策边界:美联储能否“操纵”政策利率和利率曲线?
美联储能“制定”、但不能“操纵”政策利率、更不能“操纵”利率曲线。利率是内生的。利率的期限越长,与宏观因素越相关,与短端利率越不相关。所以,市场预期的政策利率路径和2年以上国债利率曲线通常系统性地和方向性地偏离货币政策利率和美联储的前瞻指引。
长期而言,中性利率是货币政策操作的“锚”,决定了降息的“终点”。2008年金融危机以来,中性利率上行是发达国家的普遍现象,其中,财政扩张和政府债务杠杆率的提升是主导因素。美国中性利率已从0左右升至1-1.5%左右,这意味着美联储降息的终点或在300-350bp。
短期而言,美联储政策利率或不具有“限制性”,下半年的降息节奏重点关注失业率。截止到2025年7月,美联储应该将联邦基金利率设定在3.8-6.3%区间(实际值4.3%)。这说明,当前政策利率并不具备“限制性”,未来的降息空间将依赖于通胀缺口与失业缺口的变化。
美联储长期逆基本面“操纵”收益率曲线的空间或有限,美债期限溢价上行趋势或延续。一般而言,在加息周期中市场定价过于“鸽派”,在降息周期当中定价过于“鹰派”。但在本轮美联储加息-降息周期中,市场始终在“抢跑”降息。近期,长端利率已经对降息预期“脱敏”。
三、“应然的”政策组合:从“宽财政+宽货币”转向“紧财政+宽货币”?
美联储降息的空间不取决于理事会“换届”,而是美国政府会否落实财政整顿。政府去杠杆不仅可以降低中性利率、压降期限溢价,还可以“接力”美联储助力完成去通胀的“最后一公里”。经验上看,基本财政赤字率每下降1个百分点,10年期美债利率或下降12-35bps。
美国政府的财政和债务已进入“类战时状态”,财政整顿是必要的。美国政府“花钱解决问题”的冲动有加无已,赤字率和杠杆率堪比战时。历史上,赤字率具有显著的逆周期性,且扩张规模与产出缺口较为匹配,但2008年以来,超支和减收双管齐下,顺周期性越来越显著。
可持续的财政整顿方案有且仅有两种:经济增长和开源节流,区别在于政治成本的差异。政府杠杆率的变动可被拆解为四因子:实际GDP增速、(超预期)通货膨胀、财政支出和收入:(1)增长去杠杆最可持续、但见效慢;(2)开源、节流见效快,但牺牲短期增长,冒政治风险;(3)通胀去杠杆不可持续,且可能需要承担通胀脱锚的风险。
风险提示 ]article_adlist-->风险提示:地缘政治冲突升级;美国经济放缓超预期;美联储超预期转“鹰”
]article_adlist-->报告正文
]article_adlist-->美联储已成为特朗普改造深层政府这场“权力游戏”的风暴中心。这场“政治危机”背后中金优配,更根本的问题是美联储能否“操纵”利率?何为美债利率曲线陡峭化的根源、“宽财政+宽货币”的政策路径会否生变?
一、美联储换届与特朗普引导降息预期的“三张王牌”
(一)谁是下一任美联储主席?本质上都是特朗普的“影子”
6月初以来,美国总统特朗普何时提名、以及提名谁为“影子美联储主席”的话题热度不减(下文简称为“影子主席”)。基于多彩市场(Polymarket)数据,6月6日之前,市场预计特朗普2025年底之前不会宣布联储主席提名的概率持续上行,5月24日-6月6日一直维持在84%高位。但6月7日以来,“不提名”的概率开始持续下降,6月24日将至15%低位,7月以来反弹至30-40%区间。
截止到8月9日,按概率高低排序,市场预计的前三位“影子主席”候选人分别为:现任美联储理事沃勒(Waller,26.6%)、现任白宫国家经济委员会(NEC)主任哈赛特(Hassett,13.7%)和前美联储理事沃什(Warsh,7.9%)。财政部长贝森特将深度参与美联储主席的遴选过程,故已基本退出提名竞争,目前概率已基本接近于0。这符合我们的预期,因为贝森特是美国贸易谈判的核心人物,调任美联储主席后将再难密切参与白宫的各项经济事务,反而需要维护美联储在政府内部的独立性。曾任财政部任助理部长、后来调任美联储主席的马丁深知,美联储独立性的丧失对经济社会意味着什么。所以,在激进的50、60年代,他成了美联储独立性的“卫士”。当然,特朗普宣称,候选人不局限于现有的热门人选,经验也显示,即使一直领跑也未必是能最终获得提名,比如2017年的提名,沃什就一直领跑,但最终鲍威尔赢得了提名,原因之一是沃什的货币政策立场偏鹰,而鲍威尔偏中性。

最终,谁会胜出?《联邦储备法案》并未明确美联储主席的学术背景、职业经历或年龄等方面的限制,但任职资格隐含了较为严格的标准。经验上看,能够通过参议院审议,且任期表现优异的主席的“隐性门槛”包括但不限于:1)货币或财政政策领域的权威,要么是亮眼的学术背景,要么长期参与央行或财政部决策;2)较强的危机处理能力,比如鲍威尔(疫情)、伯南克(金融危机)和沃尔克(滞胀)均成功应对了重大考验;3)政治智慧,需平衡白宫诉求与美联储独立性,如耶伦协调拜登财政刺激与通胀控制;4)领导能力,能够调和FOMC成员的分歧、达成某项政策决议,在投票环节求同存异。
历史上没有出现过总统正式提名、但在参议院投票环节被否的先例,但不乏在提名环节“被放弃”的案例,主要原因是内阁成员或党派成员反对。比如1995年,克林顿总统曾考虑罗哈廷(Rohatyn)接替格林斯潘,但财政部长鲁宾(Rubin)认为他缺乏体系化的货币政策知识。2005年,在与伯南克竞争接任格林斯潘的“影子联储主席”候选人当中,劳伦斯·林赛 (Lawrence Lindsey) 被白宫批评为“政治倾向过强”——任内多次为布什减税政策辩护,小布什总统最终提名了更为中立的伯南克。总体而言,美联储主席(或其候选人)的“身份标签”包括:经济学博士、华尔街投资银行家、财政、货币政策实操者(如在财政部或美联储担任要职)等。

在政治意识形态和货币政策立场方面,多数总统都倾向于提名意识形态更温和与政策立场更中立的候选人——首次提名时同一党派或无党派者居多,如沃尔克、伯南克无党派,马丁、格林斯潘和鲍威尔都是温和的共和党人,且政策立场也更倾向于按规则行事(rule based)。一个典型的例外是尼克松总统提名的伯恩斯,他具有明显的宽松倾向,1973年甚至迫于尼克松的压力而降息,以助力当年的总统大选。70年代美国“大滞胀”的形成,伯恩斯主席具有不可推卸的责任1。
基于专业背景或职业经历,当前四位“影子主席”候选人难分高下,他们都持偏鸽派的货币政策立场。但对市场而言,谁获提名或并非矛盾的主要方面,因为本质上都是特朗普的“影子”,且他们的货币政策立场都偏“鸽派”:(1)沃什是哈佛大学法学博士,拥有华尔街和美联储(2006-2011年任美联储理事)的复合经验,2017年就曾是鲍威尔的有力竞争者(直到2017年10月仍是概率最高的候选人),但由于偏“鹰派”的政策立场未获提名。这一次,沃什旗帜鲜明地支持降息,还认为特朗普向美联储施压是正确的;(2)哈赛特是经济学家,是特朗普长期共同奋斗的“战友”,2017年《减税与就业法案》的主要参与者,现任国家经济委员会(NEC)主席,对特朗普较为忠诚;(3)贝森特拥有丰富的投资经验,且是现任财政部部长,也拥有“近水楼台”的优势。(4)沃勒是现任美联储理事(2020年至今)。由于《联邦储备法》要求美联储主席必须是理事,沃勒有一定的“先发优势”。我们倾向于认为,沃什和沃勒获得提名的概率较高。
1 参考黑泽尔,《美联储货币政策史》。

司马昭之心,路人皆知。无论是尽早提名“影子主席”,还是威胁“起诉”鲍威尔,从特朗普的角度而言,最好、最快且对市场冲击最小的方式是迫使鲍威尔在2025年底之前辞职。但目前为止,鲍威尔暂无提前辞职的想法。《联邦储备法》第10条规定,美联储理事会成员(包括主席)可以“因故”(for cause)被解职,其司法解释是“重大违法失职、渎职、严重管理不善”,而非政策分歧。虽然美联储总部翻修预算超支6亿美元(从19亿增加到25亿)可能成为潜在的法律依据,但美联储均给出了合理解释,比如地基老化增加了施工的复杂程度、通胀导致劳动力成本上升等。历史上的法院判例均维护美联储独立性。1935年“Humphrey’s Executor v. United States”案件裁定总统不能因意见不合罢免美联储理事。2025年5月,最高法院认定美联储为“结构独特的准私人实体”,强调其混合了公共职能与私人银行持股的历史传统。法院援引1913年《联邦储备法》及美国第一、第二银行的先例,指出美联储的独立性是国会为避免政治干预央行而刻意设计的制度安排。7月24日特朗普访问美联储之后,市场定价特朗普解雇鲍威尔的概率持续走低。
美联储一百多年历史中共经历了16任主席2,目前虽然还没出现总统解雇主席的案例,但存在调职或迫使其辞职的先例。比如,1951年,杜鲁门逼迫任职不足3年的麦克凯(McCabe)辞职,任命时任财政部助理部长(分管货币事务)马丁接任美联储主席。背景是,二战期间,美国的财政赤字货币化,货币政策的政治化,美联储货币政策没有自主性,如将3个月国库券利率锚定在0.375%,并通过购买长期国债将长期国债利率控制在2.5%以内。这一战时债务管理政策一直延续到战后,导致通胀压力高企。1951年,朝鲜战争进入白热化阶段,杜鲁门总统施压麦克凯,要求美联储大规模买入国债、压低国债收益率、稳定债券市场,但麦克凯拒绝了,以辞职为代价换来了1951年《财政部-美联储协议》——“美联储独立日”,现代美联储的起点。1979年,在“第二次石油危机”的紧要关头,卡特总统调任米勒为财政部长,由沃尔克接任美联储主席。
2 包含尤金·布莱克 (Eugene Black),他曾在1933-1934年代理美联储主席。

(二)定价“美联储独立性”:宽松交易、股债汇三杀与再通胀交易
特朗普“解雇”鲍威尔和鲍威尔提前离任均属“尾部风险”事件,但特朗普“借题发挥”引导市场降息预期是真实有效的。对此,特朗普最多会有三张“王牌”:第一,2025年8月,Kugler提前辞职(任期到2025年1月),特朗普将提名一位新理事;第二,年底之前提名一位“鸽派”理事接任主席;第三,如果鲍威尔不留任理事(任期至2028年1月到期),特朗普将再提名一位新的理事3。由于所有候选人的立场都是偏鸽派的,所以市场对未来美联储的降息预期偏乐观。
6月初以来,随着年底之前提名下一任美联储主席的概率上升,市场“抢跑”美联储降息。虽然在贝森特接任美联储主席的概率上升期间,市场也呈现“宽松-金发女郎”交易,但本质上,重要的仍然是提名本身,而非提名“谁”——特朗普提名CEA主任米兰代理Kugler理事职位时,市场也呈现为“宽松交易”:美股上涨、2年期美债利率下行(10年利率保持稳定,美债收益率曲线陡峭化)、美元下行、黄金上行,而非交易美联储独立性的丧失。
3 彭博专栏作者杜德利(Bill Dudley)最新撰文称,鲍威尔主席任期结束后,或将留任理事一职。
https://www.bloomberg.com/opinion/articles/2025-08-04/trump-vs-powell-and-fed-it-ll-be-just-fine?srnd=undefined


另一类交易是美联储丧失独立性,市场表现为“股债汇三杀”。7月16-17日,特朗普可能“解雇”鲍威尔的消息引发“股债汇三杀”,但辟谣后恢复正常。北京时间7月16日晚11点左右,特朗普即将“解雇”鲍威尔的消息导致市场重现“股债汇三杀”,黄金应声上涨,美债曲线显著“陡峭化”。这是在定价“美联储失去独立性”。市场的理解是,若鲍威尔被“解雇”,特朗普提名的新一任美联储主席或将提前降息。市场在在特朗普“辟谣”后恢复正常。事实上,特朗普政府内部已有官员对解雇鲍威尔持反对意见,美国财长贝森特、商务部长卢特尼克便是代表,其核心担忧在于此举可能对市场造成过大冲击。自特朗普访问美联储之后,市场预计鲍威尔2025年底离任的概率越来越小。




分阶段而言:首先,在提名人选“靴子落地”之前,由于候选人整体偏鸽,市场对短期内美联储转鹰的预期或有限度;其次,在换届之后,如果美联储“顺周期”降息,市场或呈现宽松交易,但会同步定价更高的中长期通胀预期,表现为美债收益率曲线的陡峭化;第三,如果通胀预期开始兑现,市场降息预期或将逐步消退,甚至是定价美联储加息预期,投资者或要求更高的风险溢价,导致资本流出和股债汇三杀。


二、美联储能否“操纵”政策利率和利率曲线?
美联储能“制定”、但不能“操纵”政策利率,更不能“操纵”利率曲线。作为货币的一种价格,利率是“内生的”。实践中,市场预期的政策利率路径或2年以上国债利率通常系统性、方向性地偏离货币政策利率和美联储的前瞻指引。
(一)政策利率决策框架:中性利率、泰勒规则与美联储降息空间
货币政策操作需要一个锚,曾经是“货币数量”,90年代以来已逐渐转向短端利率。自Taylor(19934)的经典论文提出“泰勒规则”(Taylor rule)以来,“规则”在美联储利率决策框架中的重要性就得以量化了,此后虽然有各种变形的“泰勒规则”,但万变不离其宗,通胀和就业作为货币政策的“双重使命”仍是模型的“灵魂”。一个绕不开的问题是,“中性利率”或“自然利率”(neutral/natural interest rate,r*)是多少?定义上,中性利率指在充分就业、通胀稳定(通常指达到目标通胀率)且无短期外部冲击情况下的实际利率水平。它是货币政策立场的重要参考——如某一政策利率是否具有“限制性”,为美联储货币政策提供了中长期方向性指引。
4 Taylor,1993. Discretion versus policy rules in practice,Carnegie-Rochester Conference Series on Public Policy 39 (1993) 195-214.

归根到底,中性利率取决于储蓄与投资的供求关系。由于美国是全球金融网络的中心国,以及美元和美债的全球公共品属性,美国的中性利率在一定程度上是由全球储蓄和美国投资关系决定的,文献中常见的解释变量主要包括:生产率、劳动年龄人口/老龄化、安全资产供给与需求、全球资本流动、风险偏好、政府债务和贫富分化等——存在一些重叠,比如安全资产需求和风险偏好类似。定性和方向上,与中性利率负相关的包括:储蓄率、老龄化、全球资本流动规模、风险溢价(上行表示风险偏好下降,安全资产需求增加)、政府债务、私人部门债务和贫富分化水平;正相关的因素包括:生产率、劳动年龄人口、安全资产供给。
边际上看,2008年全球金融危机(金融危机)以来,安全资产供给——即政府财政赤字率和债务杠杆率的提升——是全球和美国实际中性利率抬升的主导因素。中性利率持续抬升是金融危机之后发达国家的普遍现象,其中,美国已经从2008年的-0.2%左右升至1%左右,累计涨幅约120bp。究其原因,一方面是曾经推动利率下行的因素边际走弱,比如“逆全球化”背景下“全球储蓄过剩”状况有所缓解(2020年以来又有所加剧),人口老龄化的斜率有所趋缓等等;另一方面是“财政主导”(fiscal dominance)的政策范式的回归,后金融危机时代量化宽松(QE)的全球实践和现代货币理论(MMT)的“登堂入室”就是一种实践与理论的结合,对应的是全球安全资产供给的增加。曾经,低利率-低通胀-低波动宏观金融环境提升了财政可持续性的边界,但2022年以来,通胀和全球央行“加息潮”打破了这一低水平“均衡”,中性利率的趋势性抬升开始成为影响货币政策制定的“变量”。




截止到2025年中,综合模型估算、美联储调查、市场定价和市场机构预测的结果可知,美国实际中性利率的区间大致为0.8%-2%,多数估算为1%-1.6%,均值约为1.4%(对应的名义中性利率的中枢大约为3.4%),比美联储经济预测摘要当中的长期预测高40bps。 基于中性利率框架,如果参考均值,当通胀回到2%时,美联储政策利率的合理区间或为325-350bps。



中性利率偏长期分析框架,短期而言,美联储会根据基本面的边际变化或预期来调整利率,经典的分析框架是泰勒规则。每一次利率决策都是美联储综合考察通货膨胀、劳动力市场和金融风险等多个维度之后的一种权衡。自泰勒1993年的经典论文发表以来,“泰勒规则”已经成为分析美联储政策利率走势的重要工具。后金融危机时代,由于原始泰勒规则拟合度下降,美联储体系内部“开发”了多种变形的“泰勒规则”5。基于泰勒规则,截止到2025年7月,美联储应将联邦基金利率(FFR)设定在3.8-6.3%区间(图表22)—FFR目标区间4.25-4.50%(有效联邦基金利率EFFR为4.3%),其中,原始泰勒规则指示的FFR依然高于5.1%。换言之,美联储的货币政策立场已基本回归中性,政策利率并不具备“限制性”,未来的降息空间将依赖于通胀缺口与失业缺口的真实变化。
5 邵宇、陈达飞、赵宇:利率是理解美联储政策正常化的关键——基于“泰勒规则”视角,《金融市场研究》,2022.09, VOL.124.


(二)长端利率定价框架:期限溢价系统性转正,且仍有上行空间
2024年下半年以来,西方主要经济体(日本除外)进入降息周期,但部分经济体的长端国债利率不降反升。例如,英国10年和30年国债利率已经超过2022年9-10月“英债风波”时期。美国10年和30年国债利率虽还未突破2023年秋季国债恐慌(treasury tantrum)时期,但降息周期开始后中枢并未下降,其中30年期利率已经从4%回升到5%左右,基本回到了2023年10月的高点。无论是美国还是英国,本轮降息周期以来,国债利差(10年-1年)均在持续走扩,这一方面表明,长端利率的定价更为复杂,且经常方向性地偏离政策利率;另一方面,相对于基本面和市场定价而言,货币政策利率并不具有限制性。
值得注意的是,今年上半年,美债10年-1年利差的“陡峭化”暂停了,但英国仍在延续陡峭化,我们认为,这主要受两方面因素的影响:第一,今年下半年为关税验证期,美国经济有进一步放缓的预期;第二,美联储换届使得市场对短期美联储降息预期较为乐观。但是,这两个因素都是偏短期的。


长端利率可以被拆解为风险中性利率和风险溢价,前者表示对未来短端利率的期望——主要受美联储货币政策立场和前瞻指引的影响,后者则是对未来一段时间内通胀、信用等风险的定价。有共识的是,期限越长,宏观因素的影响权重越高,风险中性利率的影响权重越低。Jansen et al.(2024)的研究结论是,期限小于1年的美债利率当中,风险中性利率的权重近8成,宏观因子的权重2成;1-5年的中期利率中,风险中性利率的权重下降到约6成,宏观因子的权重升至3成以上;5年以上的长期利率中,风险中性利率的权重下降到不足3成,宏观因子的权重进一步抬升至4成以上(另外近3成归因于“潜在需求”因子)。



拆分结构可知,自2023年6月1日暂停“债务上限”和7月美联储最后一次加息以来,5年以上期限的中长端美债利率之所以不降反升,原因在于期限溢价对美债利率的正贡献超过了风险中性利率的负贡献。从2023年5月到2025年6月,1年期和2年期美债利率分别下降了85bps和24bps,3年基本保持不变,5年和10年利率分别上涨了37bps和81bps。从1年期到10年期,中性利率的负贡献递减,期限溢价的正贡献递增。从10年期利率的拆解看,随着美联储从加息周期到降息周期的转变,中性利率的贡献由正转负,但期限溢价则大幅上行了130bps,导致10年美债利率的中枢不降反升。
究其原因,货币政策不确定性、美债流动性和通胀风险等在不同阶段均扮演着一定的角色。2023年3季度财政部再融资会议之后长端美债利率的大幅抬升,与债务上限暂停后美国财政部增加长端美债发行规模有关。经验上,期限溢价与美国财政赤字率正相关中金优配,且敏感系数在本轮通胀冲击后显著提升,金融危机之前和之后分别为0.36和0.27,但2022年以来增加到了0.59——财政赤字率上升1个百分点,市场要求的期限溢价将上升约59bps。



所以,在下一届美联储主席的政策立场可能“偏鸽”的背景下,应关注市场对美联储降息的定价是否过于乐观。一方面,看似由美联储“决定”的政策利率实则是“内生的”,短期取决于周期性因素,长期取决于全球化、人口年龄结构和政府债务等结构性因素。无论是基于泰勒规则框架还是中性利率框架,当前美联储政策利率已不具备“限制性”——甚至是略显宽松,后续降息空间依赖于通胀缺口与失业缺口的真实变化;另一方面,利率期限越长,受货币政策利率的影响就越小,受宏观和美债供求的影响越大,故可以观察到,中长期利率的走势经常与货币政策周期相反。一言以蔽之,整个利率曲线都是“内生的”,美联储或难“操纵”政策利率和利率曲线!
(三)美联储“权力”的边界:市场似乎总是与美联储“作对”!
美联储利率决策体现了明显的“民主集中制”特征:每次例会,FOMC成员可自由表达利率观点,但在投票环节多会“求同存异”。经验上看,上世纪70年代末以来,FOMC例会中投票反对利率决议的票数呈下降态势。这与利率点阵图中所呈现的观点分歧经常相悖。以2025年6月(季度)例会为例,虽然没有反对票——仅针对6月例会“维持利率不变”的决议,但点阵图显示,有7位成员认为2025年全年不降息、2位认为降息1次。这是美联储的一个特色——在英格兰银行和日央行例会决议中,反对票较为常见。因为,市场经常定价FOMC成员的“分歧”,导致市场出现意外的波动。为此,美联储主席的一个“KPI”便是协调成员的意见,在投票环节中“求同存异”,以减少对市场的扰动,但并非每次都能成功。


伯南克曾说,“货币政策要发挥影响力,98%靠宣传,2%靠政策本身。”虽然美联储非常重视与市场的沟通,强调政策的透明度,但依然难言“驯服”了市场。一个经验事实是:事后看,货币政策利率的路径与(事前)市场预期的政策利率的路径存在系统性的偏差。一般而言,在加息周期当中,市场的定价有明显的惯性:在美联储加息周期中定价偏“鸽派”,在降息周期当中定价偏“鹰派”。换言之,事后看,货币政策利率总是发挥着“锚”的作用——别跟美联储作对!但事前看,市场总会跟联储作对!
一个经典案例是,后金融危机时代,西方央行普遍面临零利率下限约束,如何引导长端利率下行成为货币当局的难题,一个答案就是“无限QE”。美联储前两轮量化宽松都是“有限量宽”(限定了时间和规模),但2012年9月实施的第三轮量化宽松变为“无限量宽”(每个月购买约850亿美元资产,但时间是“开放的”)。从市场预期的政策利率的路径看,美联储阶段性地“驯服”了市场,但这并没有改变市场定价系统性、方向性地偏离政策利率路径的事实。虽然事前与事后的“信息集”有差异,但不能否认,联储“操纵”利率曲线的“权力”是有边界的。在经济周期扩张阶段,即使美联储指向宽松,市场也可能选择“不相信”,导致利率曲线“陡峭化”。


不容置否的是,从对利率曲线的影响力而言,美联储的“权力”远大于财政部等政策机构。但这一“权力”是有边界的,即以“独立性”和“透明性”为根基,也依赖于实际行动——而不仅仅的停留在口头上的“前瞻指引”。在2023年1月由瑞典央行举办的“中央银行独立性研讨会”上,鲍威尔发表了题为《中央银行的独立性与职责范围:观念的演变》主旨演讲,认为:第一,美联储的货币政策独立性是一项重要且广受支持的制度安排,它为美国民众带来了诸多益处;其次,美联储必须通过工具来实现我们所设定的充分就业和价格稳定的目标,并通过提供透明度来便于公众及其国会中的选举代表理解并进行有效监督;第三,应当“坚守本职工作”,不要偏离正轨去追求那些与我们的法定目标和权限并无紧密关联的所谓社会利益。7月21日6,两位前美联储主席伯南克和耶伦在纽约时报上发表联名文章,以70年代“大滞胀”的案例阐明了货币政策政治化的教训,以声援鲍威尔维护美联储独立性,同时也建议白宫减少对美联储独立性的侵蚀。
上世纪90年代初以来,美联储越来越注重规则(rule)的重要性,但2008金融危机之后,规则正让位于弹性(flexibility)。一般而言,基于规则的框架更注重政策可信度和通胀上行风险,而基于弹性的框架更关注增长的下行风险——进而抬升了通胀脱锚的风险。基于词频的量化研究表明,后金融危机时代,随着通胀成为软约束,规则的重要性在下降(Bordo et al.,2024)。当下,虽然通胀已经回归,但特朗普时代的政策不确定性依然较高,美联储能否重建基于规则的框架仍是有个疑问!
6 https://www.nytimes.com/2025/07/21/opinion/federal-reserve-independence-trump.html


三、一个“应然的”政策组合:紧财政+宽货币
不应将美联储降息的空间寄托在美联储主席的换届上,而是美国政府能否从“宽财政”转向“紧财政”。随着《美丽大法案》的落地,财政将继续成为美国经济韧性的一个支撑因素,进而也可能成为压缩美联储降息预期的消极因素。
(一)财政货币协同:美联储降息的空间来自于财政整顿?
“财政主导”范式的回归已经成为影响货币政策独立性的一个风险。2008年金融危机以来,美国联邦政府积极的财政政策和政府债务杠杆的攀升是货币政策中性利率持续上行的主要解释。2020年公共卫生事件冲击以来,美国财政扩张力度堪比两次世界大战时期,是美国核心通胀的粘性高于其他发达经济体的重要解释——无论是短期还是长期,更高的赤字或债务都会通过总需求、通胀预期、挤出私人投资以及对财政主导地位的担忧,加大通胀压力的风险。所以,财政平衡不仅可以降低中性利率,还可以推动去通胀完成“最后一公里”,进而有利于拓展美联储降息的空间。此外,财政整顿还能够降低期限溢价,进一步降低中长端美债利率,减轻财政付息压力。
政府去杠杆可以降低长期中性利率,还可以压降期限溢价。原理上,政府杠杆率增加代表宽财政,所以会增加国债供给,抬升中性利率。实证研究也显示,美国政府杠杆率每增加1个百分点,10年期美债利率(或10年期限溢价或者5年-5年远期美债利率)或上行2-6bps。基本财政赤字率每增加1个百分点,10年美债利率或上行12-35bps。


积极的财政政策是美国通胀粘性的一个重要解释。财政整顿可以“接力”美联储助力完成去通胀的“最后一公里”。为应对2020年公共卫生事件冲击,美国在2020年3月-2021年3月共出台了三轮财政刺激措施,累计金额高达约5万亿美元。在此后的约一年半时间里(直到2022年底),美国的核心CPI通胀始终领跑其他经合组织(OECD)经济体。2021年以来,美国产出缺口转正,经济过热,但美国财政赤字率却不降反升,是期间美国核心通胀粘性的重要解释。
从需求和供给侧的拆解来看,需求侧拉动是主要解释。旧金山联储的一项全球比较研究(Jordà and Nechio,20227)认为,美国在 2020 - 2021 年采取的额外财政措施及其对需求的影响,到 2021 年底使通胀率上升了 3 个百分点。美国白宫经济顾问委员会(CEA,20238)的研究认为,尽管供给侧问题本身是通胀的主要驱动因素,但它们也与全球异常的财政刺激相互作用,放大了财政政策的直接通胀效应。
7 Jordà and Nechio,2022. Why Is U.S. Inflation Higher than in Other Countries? FRB of San Francisco.
8 CEA,2022. Disinflation Explanation: Supply, Demand, and their Interaction,The White House.


(二)必要的整顿:美国财政的顺周期性和债务的可持续性
美国联邦政府财政和债务已进入“类战时状态”。联邦政府“花钱解决问题”的冲动有加无已,导致本世纪初以来,赤字率持续攀升,债务杠杆率屡创新高。截止到2024年,联邦政府债务杠杆率已升至120%左右(2020年高达130%),与1946年二战后的高点(121.2%)相当。并且,虽然美债收益率仍处于历史较低位置,但政府债务利息支出占GDP的规模已经创历史新高。


历史上,美国联邦政府赤字率具有显著的逆周期性,且扩张规模与产出缺口较为匹配,但2008年以来,一方面“超支”幅度越来越大,另一方面具有显著的“顺周期性”。在经济衰退区间,产出缺口为负,财政政策应该发挥逆周期调节作用,采取积极的政策立场,而后随着缺口的收敛而逐步退出。但是最近的三次衰退中(2001年科网泡沫、2008年金融危机和2020年COVID-19),美国财政扩张的幅度均显著超过产出缺口。2017-2019年,以及2021年至今,虽然美国经济处于扩张区间、甚至过热(产出缺口转正),财政赤字依然不降反升。


美国联邦政府赤字率、付息压力和债务杠杆率都表明财政整顿是必要的,但并不能表明债务已经到了不可持续的“边界”。债务可持续性分析的一般框架是:
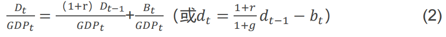
债务的动态可表示为:Dt=Dt-1+rDt-1-Bt(或Dt-Dt-1= rDt-1-Bt) (1)
其中,Dt为第t期的债务余额,Dt-1第t-1期的债务余额,r为债务的平均利息率,B为基本收支状况——基本收支为盈余(赤字)会降低(增加)债务。
将(1)式两边同时除以GDPt就可以得到债务杠杆率:

其中,GDPt/GDPt-1=1+g,(2)式可等价变形为:

(3)式是债务杠杆率动态的基本方程,可知杠杆率的变化取决于两个因素:第一,当期的基本收支状况bt,基本收支为盈余有助于去杠杆;其次是上一期的债务率dt-1和(r-g)的乘积9,r大于g是去杠杆的有利条件。
近年来,美国联邦政府财政收支状况的恶化,“超支”和“减收”均有贡献。二战结束后至20世纪末,联邦政府收入和支出占GDP的比重缓慢且同步上行,基本收支状况维持均衡——甚至盈余的年份多于赤字年份。但2001年科网泡沫之后,基本收支状况持续恶化,赤字率在2008年金融危机和2020年COVID-19冲击期间均创新高。分拆基本收入和基本支出可知,“增支”和“减收”对收支状况的恶化均有贡献,前者代表性法案包括:2009年《美国复苏与再投资法》、2010年《患者保护与平价医疗法案》、2020年《新冠援助、救济与经济安全法案》和2021年《美国救援计划法》;后者包括:2001年《经济增长与税收减免协调法案》、2003《就业与增长税收减免法案》、2017年《减税与就业法案》和2025年《美丽大法案》。
9 由于g一般较小,1+g约等于1。

基于r和g的关系,可将二战后美国政府杠杆率的演变划分为三阶段理解:第一阶段是1946-1981年,美国政府实现了“漂亮地”去杠杆,一个有利的条件是r-g<0(r0(r>g);第三阶段为2008年之后,美国政府开始快速加杠杆,本阶段r-g<0,说明本阶段杠杆率的抬升,主要是由基本收支的恶化导致。截止到2024年,r-g已缩小至-1.1%(2015-2019年均值为-1.8%)。如果r上行和g下行的趋势得以延续,r-g或将转正,这要求基本收支大幅盈余才能实现去杠杆(或稳杠杆)的目标。
需要厘清的是,财政整顿是必要的,但不等同于说债务已经不可持续,而是说当下的债务杠杆及其未来的发展正前所未有的趋近于这一“临界点”。学术文献对于债务可持续性的研究结论不一,大体认为杠杆率达到110%至180%区间时,债务或不可维系10。2024年,美国联邦政府(广义)杠杆率为122%,这是否意味着债务已经不可持续?并非如此,如果仅考虑公众持有的债务(剔除政府间持有的部分),美国政府杠杆率仅为96%左右,如果再剔除美联储持有的16%左右,杠杆率将进一步下降至80%左右。所以,从狭义上来说,美国政府债务离不可持续的“临界点”仍有较远的距离。但是,这并不妨碍市场要求更高的风险溢价。在这个过程中,r和g的关系会变得更加不利,从而加速“临界点”的到来。
10 结果差异主要源自时间区间、假设条件和模型等。


(三)平衡的路径:增长、开源、节流和通胀“四因子”
为分析联邦政府去杠杆/稳杠杆的落脚点,可将杠杆率的变动拆解为四因子:实际GDP增速、通胀、财政支出、财政收入。其中财政支出的影响方向为正,代表财政支出越高,债务率越高;实际GDP增速、通胀、财政收入的影响方向为负,即三者越高,越能压低债务率。具体拆解方法如下:
杠杆率dt=Bt/Yt,其中Bt为第t期的政府债务余额,Yt为第t期的名义GDP规模,杠杆率的变化(Δdt)可表述为:

政府债务的变化等于上一期债务与本期赤字之和:Bt=Bt-1+Dt,其中,赤字等于财政支出G减财政收入T,即Dt=Gt-Tt。本期的名义GDP可拆解为上期名义GDP乘以名义增速,Yt=Yt-1 (1+gt+πt),其中gt是实际GDP增速,πt是GDP平减指数增速。将以上分解代入到(1)式,可得到

进一步拆解为四因子后,可以得到最终分解形式:

其中,-gtdt-1代表实际GDP增长的贡献,-πtdt-1代表通胀的贡献,Gt/Yt代表财政支出的贡献,Tt/Yt代表财政收入的贡献。拆分结果显示:
第一阶段,1946-1981年堪称一次“漂亮地”去杠杆,杠杆率从1945年的103%下降至1981年的25,累计下行78个百分点。归因而言,通胀12累计贡献了74个百分点,实际GDP累计贡献了43个百分点,财政赤字累计拖累了37个百分点;
第二阶段: 1982-2007年为缓慢加杠杆阶段(或稳杠杆阶段),杠杆率由25%小幅升至35%(加杠杆阶段主要发生在90年代中叶之前)。前期加杠杆主要归因于里根减税、付息压力和国防支出增长;后期的去杠杆则归因于克林顿时期的增税、信息技术革命驱动的高增长以及冷战结束后国防开支的下降。通胀、实际增长和财政收支分别累计贡献-26、-32和65个百分点。
第三阶段:2007年至今为快速加杠杆阶段。2008金融危机和2020公共卫生事件冲击使得杠杆率重返二战后的高位区间。这一时期,导致债务上升的主导力量是财政赤字的扩大,财政赤字累计抬升杠杆率112个点,远超其他时期。
11 狭义口径,不考虑政府养老金和政府间持有的国债。
12 严格而言,只有超预期的通胀才能去杠杆。本文通胀的贡献率,相当于GDP平减指数的涨幅。


整顿财政的方式无非是开源和节流两种,最有力的方案需双管齐下。以克林顿任期(1993-2001年)为例,1992-2000年,美国财政收支占GDP的比例从-4.5%升至2.3%——70年代以来,美国联邦政府仅在1998-2001年实现财政盈余;政府杠杆率从62%下降到55%(1995年峰值时为65%)。
这次“漂亮的”财政整顿,主要有6个解释:(1)互联网革命驱动了“新经济”的繁荣,抬升了全要素生产率,使90年代下半叶实际GDP增速上台阶;(2)海湾战争和冷战的结束带来了“和平红利”,美国国防开支规模及其占财政支出的比例均显著下行;(3)增税:1993年《综合预算协调法案》将个税最高税率从31%提升至39.6%、企业税率从34%提升至35%,90年代下半叶的美股牛市增加了资本利得税;(4)减支:民主党与共和党控制的国会(1995年后)达成妥协,1997年通过了《平衡预算法案》13,限制了非必需开支的增长;(5)大缓和的宏观环境,导致r小于g;(6)“婴儿潮”一代进入收入高峰期——40-50岁高收入人群比例上升,推动了个人所得税增长。1992-2000年,个人所得税占比从43%升至49%,企业税从8%升至10%。归纳而言,无非“开源”和“节流”双管齐下。
13 the Balanced Budget Act of 1997.




奥巴马任期内的2011-2013年的财政整顿则没那么“漂亮”。为应对2008年金融危机,美国财政赤字率和联邦政府债务杠杆率都大幅抬升。2007-2010年,美国联邦政府赤字率从-2.4%升至-10.0%(+7.6%),杠杆率从56%增加到85%(+29.3%)——在G10国家当中,美国政府的赤字率涨幅位居首位,杠杆率涨幅位居第三。但与之相反,2011-2013年,美国政府赤字率的下降速度也是居于首位的(-5.8%),且远高于其他G10国家——杠杆率仍然抬升了10个百分点,主要是因为财政政策的过快紧缩影响了经济增长。
本次财政整顿并不符合经济基本面状况,背后的驱动力主要是党派政治。2011年初,美国的失业率水平仍高达9.1%,2013年底仍然高达6.7%。故事缘起于2010年的中期选举:众议院方面,民主党失去了 63 个席位,共和党“逆袭”成为众议院的多数党;参议院方面,民主党失去了 6 个席位,虽然保持了多数党地位,不过优势被大幅削弱。2011年5月,美国联邦政府触及债务上限。财政部发出警告,若国会不提高上限,政府将或在8月2日面临违约。两党随即开始了新的债务上限谈判。共和党的核心诉求是:未来10年至少削减2万亿美元支出,且不得增税,尤其反对对富人加税;民主党主张“增税+削减开支”的平衡方案,但保护社会福利项目。




两党在最后时刻才达成临时性的妥协方案(2011年《预算控制法案》14),主要内容包括:(1)至2013年,分两阶段提高债务上限共2.1万亿(新债务上限为16.4万亿);(2)自动减支机制(Sequestration):若国会不能在2013年前达成1.2万亿的赤字缩减协议,自2013年起自动无差别削减国防与非国防开支(每年约1090亿,国防与非国防各50%)。2013年3月,自动减支机制如期生效,叠加小布什时期的减税政策到期后奥巴马提出的“财政悬崖”15解决方案,2013财年减支规模占GDP约2个百分点,拖累GDP约1.5个百分点(IMF,201316)。本次债务上限纠纷暴露出了“政治失灵”。美东时间8月5日,标普历史上首次将美国长期主权信用评级从AAA下调至AA+,引发全球避险情绪升温。
归纳而言,美联储降息的空间和曲线的“平坦化”不主要取决于美联储自身,而是美国政府会否落实财政整顿。因为,财政整顿不仅可以降低中性利率、压降期限溢价,还可以“接力”美联储助力完成去通胀的“最后一公里”。并且,美国联邦政府的财政和债务已进入“类战时状态”,财政整顿是必要的。可持续的财政整顿方案有且仅有两种:经济增长和开源节流,区别在于政治成本的差异——即要么通过AI浪潮+制造业回流+关税(本质是消费税)“漂亮地”去杠杆,要么政府“过紧日子”。
14 Budget Control Act of 2011.
15(1)年收入40万美元以上家庭个人所得税从35%升至39.6%;资本利得税从15%恢复至20%;终止薪资税减免(2%税率优惠到期,从4.2%恢复至6.2%);
16 IMF,2013. Fiscal Monitor: Fiscal Adjustment in an Uncertain World.
风险提示 ]article_adlist-->1、地缘政治冲突升级。俄乌冲突尚未终结,巴以冲突又起波澜。地缘政治冲突或加剧原油价格波动,扰乱全球“去通胀”进程和“软着陆”预期。。
2、美国经济放缓超预期。关注美国就业、消费走弱风险。
3、美联储再次转“鹰”。若美国通胀展现出更大韧性,可能会影响美联储未来降息节奏。
]article_adlist-->THE END
]article_adlist-->+报告信息
]article_adlist-->
内容节选自申万宏源宏观研究报告:
《美联储的“政治危机”与美债风险的“重估”》
证券分析师:
赵 伟申万宏源证券首席经济学家
陈达飞 首席宏观分析师
赵 宇 高级宏观分析师
王茂宇 高级宏观分析师
联系人:陈达飞
发布日期:2025.08.16



特别声明:以上内容仅代表作者本人的观点或立场,不代表新浪财经头条的观点或立场。如因作品内容、版权或其他问题需要与新浪财经头条联系的中金优配,请于上述内容发布后的30天内进行。
海量资讯、精准解读,尽在新浪财经APP
易倍策略提示:文章来自网络,不代表本站观点。